"REASONABLE"?

FOR MANY OBVIOUSLY A FOREIGN WORD!

An Opinion By Jan Bergemann 
President, Cyber Citizens For Justice, Inc.

Published June 25, 2016

     

It seems that our legislators in Tallahassee love to use the word "reasonable" in the statutes. There would be nothing wrong with it -- if the people interpreting these statutes would really understand the meaning of this obviously "complicated" word.

This is, according to Merriam-Webster the simple definition of the word REASONABLE:

  1. fair and sensible

  2. fairly or moderately good

So -- what's so difficult to understand?

In my opinion many of the "reasonable" rules created by certain attorneys, community association managers and board members are anything but reasonable.

A "reasonable" rule should serve a purpose that is fair to everybody having to deal with such rules, not just one party making rules to suppress the freedom of the other party.

Yes, it can be reasonable to create rules that make sure that a person taping a meeting is not disturbing the meeting, like making noise and/or wandering around during the meeting. That makes sense, assuring a meeting can be conducted without being disturbed by an overeager owner pointing the camera in peoples' faces.

But what purpose does it serve to require an owner to give the manager a 24-hour written notice that he/she intends to tape the meeting? I'm sorry, but such a rule is absolutely unreasonable -- and plainly makes no sense. It doesn't serve any other purpose but to make it difficult for any owner to tape the meeting.

Then you see all the rules created by attorneys and dictatorial board members in regards to the statutory requirements of the law to allow the owners to speak at meeting. These "rules" are created to circumvent the Florida statutes -- nothing else.

And as an additional intimidation factor the threat of fines is added, telling the owners that they are being fined -- right or wrong -- if the board doesn't like what the owner has to say -- and when he/she says it. This is a typical example why we should do here in Florida the same owners did in Virginia and Rhode Island: Go to the Florida Supreme Court and enforce our constitutional rights: Only government entities can fine citizens, contract or not! These fines are only serving one purpose: To take away rights of owners given to them by the statutes. Make no mistake: Clear violations of the deed-restrictions can easily enforced by the association in a court of law -- no fining provisions needed!

These rules, written by association attorneys who should know better, and "enacted" by dictatorial board members without informing the membership prior to enactment, are becoming more and more common in Florida's community association. They are clearly aimed at taking away the rights of owners -- what little rights they have in the first place.

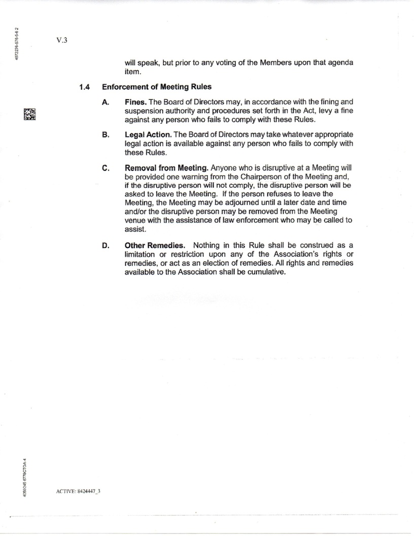
After reading this example of rule-making "enacted" by the board of the CHAPEL TRAIL OWNER'S ASSOCIATION, INC. and most likely written by attorney Howard Perl from the law firm of Becker & Poliakoff (the regular association attorney) I would like you to tell me which one of these rules you find reasonable. For your information, these rules were mailed to the owners without any cover letter, dates or signatures. I guess nobody felt comfortable enough to put his/her signature under such dictatorial -- and definitely unreasonable -- rules.

    


NEWS PAGE HOME LEGISLATIVE SESSION 2016